產品介紹 | PRODUCTS
聯系我們 | CONTACT US
- 銷售熱線:0632-5113088
- 銷售熱線:0632-5113088
您所在的位置首頁 >>
產品介紹 >>
有機膦系列阻垢緩蝕劑、螯合劑 >>
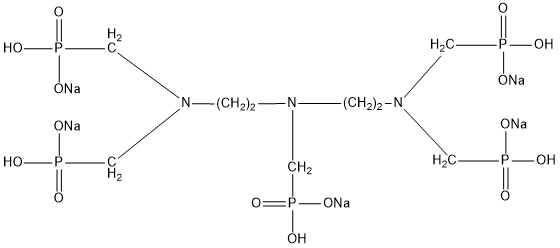
二乙烯三胺五甲叉膦酸五鈉 DTPMP·Na5產品介紹
二乙烯三胺五甲叉膦酸五鈉 DTPMP·Na5
Diethylene Triamine Penta (Methylene Phosphonic Acid) Pentasodium salt
CAS No. 68155-78-2
分子式 C9H23O15N3P5Na5 相對分子質量:683.2
一、性能與用途
DTPMP·Na5是一種中性產品,DTPMP·Na5無毒,固體DTPMP·Na5極易吸潮易溶于水,在水處理中用作循環冷卻水和鍋爐水的阻垢緩蝕劑。
DTPMP·Na5可用做過氧化物穩定劑、紡織印染用螯合劑、顏料的分散劑、化肥中微量元素攜帶劑、混凝土添加劑。此外,在造紙、電鍍和化妝品等方面也得到了廣泛應用。
二、技術指標
| 項 目 | 指 標 |
| 外 觀 | 琥珀色透明液體 |
| 活性組分(以DTPMPA計)/% | 24.0~26.0 |
| 活性組份(以DTPMP·Na5計)/% | 28.5~31.0 |
| 總磷(以PO43-計)/% | 19.7~21.7 |
| pH值(1%水溶液) | 6.0~8.0 |
| 密度(20℃)/g·cm-3 | ≥1.25 |
| 氯化物 (以Cl-計) /% | ≤5.0 |
| Fe含量(以Fe計) /mg·L-1 | ≤20.0 |
三、包裝與貯存
DTPMP·Na5液體用塑料桶包裝,每桶25kg或250kg,貯于室內陰涼干燥處,防潮,貯存期為十個月。
四、安全防護
DTPMP·Na5,操作時注意勞動保護,應避免與皮膚、眼睛等接觸,接觸后用大量清水沖洗。
關鍵字:二乙烯三胺五甲叉膦酸五鈉,DTPMP·Na5,二乙烯三胺五甲叉膦酸五鈉 DTPMP·Na5,DTPMP鈉鹽,DTPMP,DTPMPA,DTPMP鈉鹽,DTPMP·Nax,DTPMP·Na7,DTPMP·Na7
銷售熱線:0632-5113088 銷售傳真: 0632-5113155
地址:山東省棗莊市市中區十里泉東路1號 網址:http://m.51chushipeixun.com E-mail:th@thwater.com
版權所有© :2006-2021 山東泰和科技股份有限公司 魯ICP備09091669號-43
地址:山東省棗莊市市中區十里泉東路1號 網址:http://m.51chushipeixun.com E-mail:th@thwater.com
版權所有© :2006-2021 山東泰和科技股份有限公司 魯ICP備09091669號-43


